Loading...
 
Skip to main content

ICON Brokerage Group - Real....or....Not

March 2, 2016

We received the following email a week or so ago from Cyndee and Bob:
We are owners of a 2 bedroom loft at Nuevo Vallarta and were recently contacted by Icon Brokerage Group in Colorado about buying it from us. I did some research and found that their Domain name was established in November 2015 and only for 1 year. Then I called Vidanta and they thanked me for calling and said the operation is a total scam. They are playing off the name Icon Real Estate which is a legitimate company.

Although we do not feel any Advance Fee Fraud schemes are interesting, this particular instance has a number of twists that make the "company" appear legitimate. Consider the following:
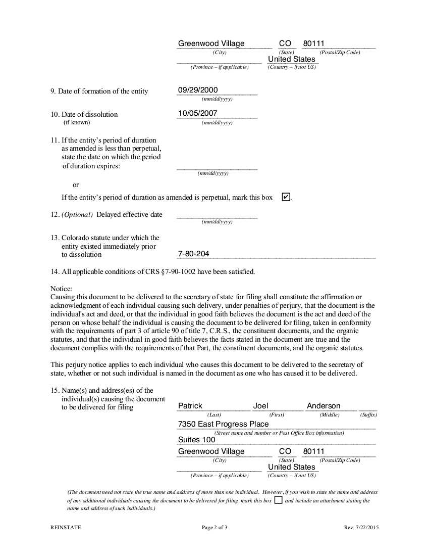
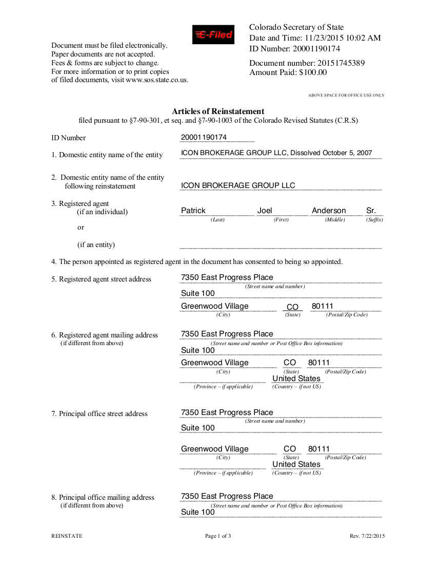
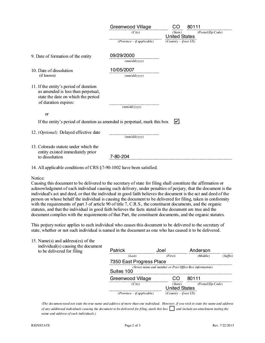
  • ICON Brokerage Group LLC was formed on September 29, 2000 and was dissolved on October 7, 2007

Filing statements with the Colorado Secretary of state show the company dissolved on October 7, 2007.
Filing statements with the Colorado Secretary of state show the company dissolved on October 7, 2007.

  • A supposedly authentic Reinstatement was filed on November 20, 2015 and followed on November 23, 2015 by an E-Filed Document. The reinstatement document is the original Articles of Organization, not new Articles of Reinstatement. The organizer listed in the September 29, 2000 Articles of Organization, Mr. Jay F. Kemlet said he knew nothing about the reistatement and suggested the form could have been filed electronically without his knowledge or consent. The E-Filed document appears below:


Original Articles of Organization and fake
Original Articles of Organization and fake "Articles of Reinstatement.".

"Articles of Reinstatement." Note - the address is false.

"Articles of Reinstatement." Note - the address is false.

"Articles of Reinstatement." Last page.




  • We sent an email to the operators of the "Virtual Office" that the ICON Brokerage Group website claimed was their address. Virtual offices are common place and make sense. Here is what we received:

Hello Bob,

We did have Icon Brokerage Group sign up online for service, however we terminated their agreement/ services shortly thereafter due to non-compliance (they did not send in the appropriate identification and postal forms that allow us to provide such services). We were never able to reach a rep from their company, but have had several inquiries about the legitimacy – which we can definitely NOT vouch for.

I hope this helps!

Thanks,

Krystle McGehee | Business Center Manager
Office Revolution

Thank you Cyndee and Bob. So glad you broght this group to our attention. Clearly suspicious! Let's all take the pledge to help stamp out scams....Don't Write Those Checks
Return to Current News ...OR... Return to Photos and Videos